
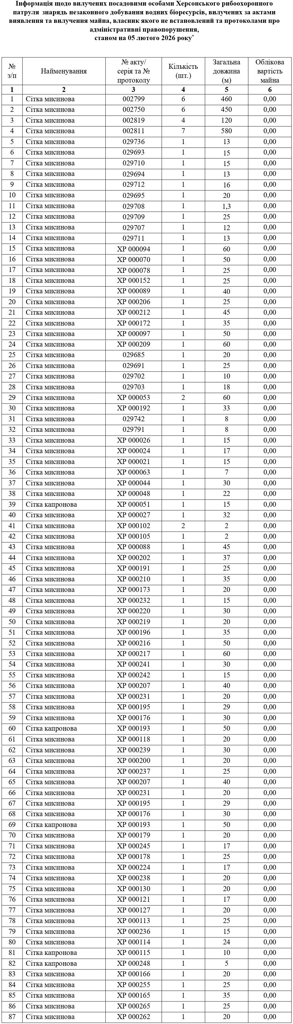
Херсонський рибоохоронний патруль інформує про вилучені знаряддя незаконного добування об’єктів тваринного світу, які тимчасово зберігаються в приміщенні Миколаївського рибоохоронного патруля.

*- знаряддя незаконного добування об’єктів тваринного світу, вилучені за актами виявлення та вилучення майна, власник якого не встановлений, можуть бути безоплатно передані Збройним Силам, Національній гвардії, СБУ, Службі зовнішньої розвідки, Держприкордонслужбі, МВС, Національній поліції, ДСНС, Управлінню державної охорони, Держспецзв’язку, іншим утвореним відповідно до законів України військовим формуванням, їх з’єднанням, військовим частинам, підрозділам, державним органам, установам (організаціям), які утримуються за рахунок бюджетних коштів, для потреб оборони держави, забезпечення національної безпеки, відсічі збройної агресії Російської Федерації проти України, усунення загрози небезпеки державній незалежності України, її територіальній цілісності, забезпечення енергетичної безпеки держави, продовольчої безпеки населення, як майно для потреб оборони та національної безпеки після закінчення строку їх обов’язкового зберігання.